Confirmatory Factor analysis (CFA) also referred to as SEM (a.k.a. Analysis of covariance structures) allows us to test the hypotheses about the relationship among variables.
Confirmatory Factor Analysis :
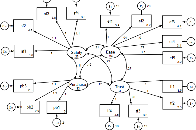
Confirmatory Factor analysis (CFA)-Multiple models with standardized coefficients
Confirmatory Factor analysis (CFA) also referred to as SEM (a.k.a. Analysis of covariance structures) allows us to test the hypotheses about the relationship among variables. The method encompasses inferential techniques such as correlation, linear regression and Factor analysis. From SEM model, p 0.05 indicates that the item is contributing to respective factor variance of each item and construct. This is a clear indication from the model, as (p=0.000 < 0.05).
Figure 2: Goodness of fit statistics
TThe SEM diagram above shows the items and their factor loading. Factor loading < 0.6 should be deleted. From the diagram, all the items have factor loading of greater than 0.6, so they are retained. Based on CFA, all the factors in safety, ease, and trust influences consumer purchase.
For the regression model above, purchase behavior measurement scores were used to calculate the dependent variables whereas safety, trust, and ease were used as independent variables. From the output, all the predictors are significant to the model at 5% level of significance except for safety with p-value>0.05. Trust and safety features explains the variability of customers purchase decision at approximately 42.2%. Therefore, we can conclude that ease and trust features influence consumer purchase decision significantly positive.


